Hinweis:
Diese Funktionalität wird derzeit nur in Map Viewer Classic (zuvor als Map Viewer bezeichnet) unterstützt. Sie wird in einer zukünftigen Version des neuen Map Viewer verfügbar sein.
Mit dem Werkzeug Zusammenfassen (innerhalb) werden Statistiken in Flächen berechnet, in denen sich ein Eingabe-Layer innerhalb einer Grenze befindet oder einen Grenz-Layer überlappt. Die Fläche, in der zusammengefasst wird, kann ein Flächen-Layer oder ein Hexagon- bzw. Quadratabschnitt sein.
Workflow-Diagramm

Durchführen von Analysen mit GeoAnalytics Tools
Mit GeoAnalytics Tools durchgeführte Analysen werden mittels verteilter Verarbeitung auf mehreren ArcGIS GeoAnalytics Server-Computern und Kernen durchgeführt. GeoAnalytics Tools und Standard-Feature-Analysewerkzeuge in ArcGIS Enterprise verfügen über verschiedene Parameter und Funktionen. Weitere Informationen zu diesen Unterschieden finden Sie unter Unterschiede zwischen Feature-Analysewerkzeugen.
Beispiele
Um die Routinewartungsprojekte effizient abzuschließen, verwendet die Stadt Zusammenfassen (innerhalb), um die Anzahl der Straßenlampen und die Kilometerzahl der Radwege in jedem Verwaltungsbezirk zu ermitteln. Anschließend lassen sich der erforderliche Materialaufwand und die Anzahl der Mitarbeiter in den jeweiligen Bezirken schätzen.
Ein Kabelanbieter startet ein Pilotprogramm, bei dem Studenten mit niedrigem Einkommen in einer Gemeinde ein preiswerter Internetzugang angeboten wird. Zusammenfassen (innerhalb) kann verwendet werden, um die Anzahl der Familien mit geringem Einkommen in jedem Hochschulbezirk zu ermitteln, sodass der Kabelanbieter einen entsprechenden Bezirk für sein Pilotprogramm auswählen kann.
Ein Unternehmen für Immobilienentwicklung möchte ein Projekt für die Mischnutzung von Gebäuden in einem Stadtzentrum für den Landkreis erstellen. Die Quadratfläche für potenzielle Erschließungsflächen mit guter Erreichbarkeit von Geschäften, Restaurants und Nahverkehrshaltestellen in den jeweiligen Städten lässt sich mit Zusammenfassen (innerhalb) berechnen. Dadurch wird die Standortauswahl vereinfacht.
Verwendungshinweise
Die Eingaben für Zusammenfassen (innerhalb) müssen zwei Layer umfassen. Der erste Layer, das Zusammenfassungsgebiet, ist der Bereich, der als Begrenzung zum Zusammenfassen des zweiten Layers verwendet wird. Er kann aus einem Flächen-Layer bestehen, den Sie angeben, oder aus quadratischen oder hexagonalen Abschnitten. Der zweite angegebene Layer, der Zusammenfassungs-Layer, ist ein Punkt-, Linien- oder Flächen-Layer, der zusammengefasst wird.
Weitere Informationen zu unterstützten Datentypen für GeoAnalytics Tools
Tipp:
Je nach Konfiguration Ihrer Organisationen haben Sie Zugriff auf Analyse-Layer des Esri ArcGIS Living Atlas, z. B. Bezirke und Hexagonal-Bins oder benutzerdefinierte Analyse-Layer. Klicken Sie auf den Dropdown-Pfeil für den Parameter Flächen-Layer auswählen, um andere Features innerhalb dessen Grenzen zusammenzufassen, um einen Analyse-Layer auszuwählen, der als Grenze herangezogen werden soll.
Je nach Feature-Typ, der im Layer zusammengefasst werden soll, wird das Feld Anzahl der Punkte, Gesamtlänge oder Gesamtfläche angezeigt. Die Kontrollkästchen sind standardmäßig aktiviert und können nur deaktiviert werden, wenn Statistiken berechnet werden. Das Standardentfernungsmaß hängt von den Einheiten in Ihrem Profil ab.
| Gesamt | Eingabe-Features | Standard | Optionen |
|---|---|---|---|
Count of Points | Punkte | Keine Auswahl | Keine Auswahl |
Gesamtlänge | Linien | Meilen (US-Standardeinstellung) oder Kilometer (metrische Einstellung) |
|
Gesamtfläche | Flächen | Quadratmeilen (US-Standardeinstellung) oder Quadratkilometer (metrische Einstellung) |
|
Sie können optional Standardstatistiken berechnen. Alle Statistiken werden unter der Annahme berechnet, dass das Eingabefeld als Anteile ausgedrückte Größen enthält. Bei einer Berechnung würde zum Beispiel ein Wert von 30 als Prozentsatz und nicht als Summe zugrunde gelegt. Für Linien und Flächen werden sämtliche gewichteten Statistiken berechnet. Sowohl die standardmäßigen Zusammenfassungsfeldstatistiken als auch die gewichteten Zusammenfassungsfeldstatistiken werden auf Daten für die Features im zusammengefassten Layer angewendet, der den Layer Zusammenfassungsbereich schneidet. Die gewichteten Zusammenfassungsfeldstatistiken werden mit einer Gewichtung basierend auf der Proportion des Zusammenfassungsbereichs multipliziert, der die einzelnen Features im zusammengefassten Layer schneidet.
Für Standardstatistiken sind acht Optionen verfügbar: "Anzahl", "Summe", "Mittelwert", "Minimum", "Maximum", "Bereich", "Standardabweichung" und "Varianz". Für Zeichenfolgenstatistiken werden zwei Optionen bereitgestellt: "Anzahl" und "Alle". Es gibt acht gewichtete Statistiken, die für numerische Felder im zusammenzufassenden Layer berechnet werden: "Anzahl", "Summe", "Mittelwert", "Minimum", "Maximum","Bereich", "Standardabweichung" und "Varianz". Gewichtete Statistiken werden nicht für Zeichenfolgendaten berechnet.
Jedes Mal, wenn die Werte Feld und Statistik angegeben werden, wird dem Werkzeugbereich eine Zeile hinzugefügt, sodass mehrere Statistiken berechnet werden können. Die zusammengefassten Ergebnisse werden in der Tabelle oder den Pop-ups des Ergebnis-Layers angezeigt. Die Anzahl der Features, die das Zusammenfassungsgebiet schneiden, werden standardmäßig immer berechnet.
Optional kann ein Feld zum Gruppieren nach ausgewählt werden, damit Statistiken für jeden einzelnen Attributwert separat berechnet werden. Wenn ein Feld zum Gruppieren nach ausgewählt wurde, wird eine Summentabelle erstellt, in der jedes Feature und jede Statistik nach dem Wert im Feld zum Gruppieren nach aufgelistet ist.
Die Felder Minderheit, Mehrheit hinzufügen und Prozentsätze hinzufügen werden aktiviert, wenn ein Gruppieren nach-Feld ausgewählt wird. Die Minderheit und Mehrheit ist jeweils der geringste bzw. dominanteste Wert aus dem Feld Gruppieren nach, wobei die Dominanz mittels der Anzahl der Punkte, der Gesamtlänge oder der Gesamtfläche jedes Wertes bestimmt wird.
Wenn die Option Minderheit, Mehrheit hinzufügen aktiviert ist, werden dem Ergebnis-Layer zwei Felder hinzugefügt. In den Feldern werden die Werte aus dem Feld Gruppieren nach aufgelistet, die die Minderheit und Mehrheit für jedes Ergebnis-Feature darstellen.
Wenn das Kontrollkästchen Prozentsätze hinzufügen aktiviert ist, werden dem Ergebnis-Layer zwei Felder hinzugefügt, in denen der Prozentsatz der Punktanzahl, der Gesamtlänge oder der Gesamtfläche aufgelistet ist, die zu den Minderheits- oder Mehrheitswerten für jedes Feature gehören. Der Ergebnistabelle wird außerdem ein Prozentsatzfeld hinzugefügt, in dem der Prozentsatz der Punktanzahl, der Gesamtlänge oder der Gesamtfläche aufgelistet ist, der zu allen Werten aus dem Feld Gruppieren nach des jeweiligen Features gehört.
Bei der Auswahl zwischen Standard- und gewichteten Statistiken ist es wichtig, die berechnete Statistik und die durch die Daten dargestellten Elemente zu berücksichtigen. Sie können beispielsweise gewichtete Statistiken für Anzahlen und Mengen sowie Standardstatistiken für Anteile und Indizes verwenden.
Wenn die Option Aktuelle Kartenausdehnung verwenden aktiviert ist, werden nur die Features im Eingabe-Layer und dem zusammenfassenden Layer analysiert, die in der aktuellen Kartenausdehnung sichtbar sind. Wenn diese Option deaktiviert ist, werden auch dann alle Features im Eingabe- und im zusammenfassenden Layer analysiert, wenn sie sich außerhalb der aktuellen Ausdehnung befinden.
GeoAnalytics Tools-Analysen mittels Diskretisierung oder auch "Binning" (Sechseck oder Quadrat) mit einem angegebenen geographischen Koordinatensystem verwenden basierend auf der Ausdehnung der Daten automatisch ein projiziertes Koordinatensystem. Weitere Informationen zum Festlegen des Koordinatensystems für Analysen finden Sie unter Verwenden der Analyseumgebungen für GeoAnalytics Tools in Map Viewer.
Statistische Berechnungen werden mit geodätischen Entfernungen berechnet.
Beschränkung
Es können nur solche Zusammenfassungsgebiete in die Ergebnisse einbezogen werden, die mindestens ein Feature im zusammengefassten Layer schneiden.
Funktionsweise des Werkzeugs "Zusammenfassen (innerhalb)"
Im Folgenden wird die Funktionsweise des Werkzeugs beschrieben:
Gleichungen
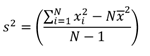
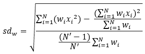
Bei zusammengefassten Linien- und Flächen-Features umfassen gewichtete Statistiken Gewichtungen für das Zusammenfassungsgebiet. Es werden keine Statistiken für Punkt-Features gewichtet. Die folgende Tabelle zeigt die Gleichungen zum Berechnen der Varianz, des gewichteten Mittelwertes und der gewichteten Standardabweichung.
| Statistik | Gleichung | Variablen | Features |
|---|---|---|---|
Varianz | ![]() | ![]() | Punkte |
Gewichteter Mittelwert | ![]() |
Gewichtungen werden als Prozentsatz des Features i im Zusammenfassungsgebiet berechnet. | Linien und Flächen |
Gewichtete Standardabweichung | ![]() |
Gewichtungen werden als Prozentsatz des Features i im Zusammenfassungsgebiet berechnet. | Linien und Flächen |
Punkte
Punkt-Layer werden nur anhand der Punkt-Features innerhalb des Zusammenfassungsgebiets zusammengefasst. Gewichtete Statistiken können beim Zusammenfassen von Punkten nicht angewendet werden.
Anhand der Abbildung und Tabelle unten werden die statistischen Berechnungen eines zusammengefassten Punkt-Layers innerhalb einer hypothetischen Grenze erläutert. Das Feld Population wurde verwendet, um die Statistiken (Anzahl, Summe, Minimum, Maximum, Bereich, Mittelwert, Standardabweichung und Varianz) für den Layer zu berechnen.

| Numerische Statistik | Ergebnisbezirk A |
|---|---|
Anzahl | Anzahl von: |
Summe | |
Minimum | Minimum: |
Maximum | Maximum: |
Bereich | |
Mean | |
Varianz | ![]() |
Standardabweichung | ![]() |
| Zeichenfolgenstatistik | Ergebnisbezirk A |
|---|---|
Anzahl | |
Beliebig | = Weiterführende Schule |
Hinweis:
Mit der Zählstatistik (für Zeichenfolgen und numerische Felder) wird die Anzahl der Nicht-NULL-Werte ermittelt. Die Anzahl von [0, 1, 10, 5, null, 6] ist beispielsweise 5. Die Anzahl von [Primary, Primary, Secondary, null] ist 3.
Ein reales Szenario, in dem diese Analysen verwendet werden können, ist die Ermittlung der Gesamtzahl von Schülern in einem Schulbezirk. Jeder Punkt stellt eine Schule dar. Über das Feld Type wird der Schultyp (Grund-, Mittel- oder weiterführende Schule) angegeben und über ein Feld für die Schülerschaft die Anzahl der in jeder Schule angemeldeten Schüler. Die Berechnungen und Ergebnisse sind in der Tabelle oben für den Bezirk A angegeben. Die Ergebnisse zeigen, dass der Bezirk A 2.568 Schüler umfasst. Wenn das Werkzeug Zusammenfassen (innerhalb) ausgeführt wird, werden auch die Ergebnisse für den Bezirk B angegeben.
Linien
Für gewichtete Statistiken werden Linien-Layer nur anhand der Proportionen der Linien-Features zusammengefasst, die sich innerhalb des Zusammenfassungsgebiets befinden. Standardstatistiken (nicht gewichtete) fassen alle Linien zusammen, die das Zusammenfassungsgebiet schneiden. Verwenden Sie beim Zusammenfassen von Linien mit gewichteten Statistiken Anzahl und Mengen (statt Verhältnisse oder Indizes), sodass proportionale Berechnungen in Ihrer Analyse logisch sinnvoll sind.
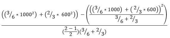
Anhand der Abbildung und Tabelle unten werden die statistischen Berechnungen eines zusammengefassten Linien-Layers innerhalb eines hypothetischen Zusammenfassungsgebiets erläutert. Das Feld Volume wurde verwendet, um die Statistiken (Anzahl, Summe, Minimum, Maximum, Bereich, Mittelwert, Standardabweichung und Varianz) für den Layer zu berechnen. Die Standardstatistiken werden mithilfe von Linien berechnet, die die Grenze schneiden, und die gewichteten Statistiken werden mit der Proportion der Linien berechnet, die sich im Zusammenfassungebiet befinden.

| Numerische Statistik | Standardstatistik | Gewichtete Statistik |
|---|---|---|
Gewichtungen berechnen | Nicht anwendbar | Gewichtung der braunen Linie (Wert = 600): Gewichtung der blauen Linie (Wert = 1000): |
Anzahl | Anzahl von: | Anzahl von: |
Summe | | |
Minimum | Minimum: | Minimum: |
Maximum | Maximum: | Maximum: |
Bereich | | |
Mean | | |
Varianz | ![]() | ![]() |
Standardabweichung | ![]() | ![]() |
Ein reales Szenario, in dem diese Analysen verwendet werden können, ist die Ermittlung des Gesamtvolumens an Wasser in Flüssen innerhalb der Grenzen eines staatlichen Parks. Jede Linie stellt einen Fluss dar, der sich teilweise innerhalb des Parks befindet. Die Ergebnisse zeigen, dass 5 Flussmeilen innerhalb des Parks liegen und das Gesamtvolumen 900 Einheiten beträgt.
Flächen
Flächen-Layer werden nur anhand der Proportionen der Flächen-Features zusammengefasst, die sich innerhalb der Eingabegrenze befinden. Verwenden Sie beim Zusammenfassen von Flächen Felder mit absoluten Zahlen, sodass proportionale Berechnungen in Ihrer Analyse logisch sinnvoll sind. Der Ergebnis-Layer wird mit abgestuften Farben dargestellt.
Gewichtete Statistiken für Zusammenfassungsgebiet-Layer basieren auf den Proportionen der Zusammenfassungsgebiet-Features, die sich im Zusammenfassungs-Layer befinden. Verwenden Sie beim Zusammenfassen von Flächen Anzahl oder Mengen (statt Verhältnisse oder Indizes), sodass proportionale Berechnungen in Ihrer Analyse logisch sinnvoll sind.
Anhand der Abbildung und Tabelle unten werden die statistischen Berechnungen eines Flächen-Layers innerhalb eines hypothetischen Zusammenfassungsgebiets erläutert. Das Feld "Population" wurde verwendet, um die Statistiken (Anzahl,Summe, Minimum, Maximum, Bereich, Mittelwert, Standardabweichung und Varianz) für den Layer zu berechnen. Die Standardstatistiken werden mit Flächen berechnet, die das Zusammenfassungsgebiet schneiden, und die gewichteten Statistiken werden mit einer proportionalen Gewichtung basierend auf dem Anteil der Zusammenfassungsgebiete berechnet, die in jedem Zusammenfassungs-Layer enthalten sind.

| Numerische Statistik | Standardstatistik: Ergebnisse Nachbarschaft 1 | Gewichtete Statistik: Ergebnisse Nachbarschaft 1 |
|---|---|---|
Gewichtungen berechnen | Gewichtung der gelben Fläche (Wert = 3200): Gewichtung der grünen Fläche (Wert = 4700): Gewichtung der rosafarbenen Fläche (Wert = 1000): Gewichtung der blauen Fläche (Wert = 4500): Gewichtung der orangefarbenen Fläche (Wert = 3600): | |
Anzahl | Anzahl von: | Anzahl von: |
Summe | | |
Minimum | Minimum: | Minimum: |
Maximum | Maximum: | Maximum: |
Bereich | | |
Mean | | |
Varianz | ![]() | ![]() |
Standardabweichung | ![]() | ![]() |
Beispiel für ArcGIS API for Python
Das Werkzeug "Zusammenfassen (innerhalb)" ist über ArcGIS API for Python verfügbar.
In diesem Beispiel werden die Entfernung und die durchschnittliche Neigung von Radwegen innerhalb der einzelnen Stadtbezirke berechnet.
# Import the required ArcGIS API for Python modules
import arcgis
from arcgis.gis import GIS
from arcgis.geoanalytics import summarize_data
# Connect to your ArcGIS Enterprise portal and confirm that GeoAnalytics is supported
portal = GIS("https://myportal.domain.com/portal", "gis_publisher", "my_password")
if not portal.geoanalytics.is_supported():
print("Quitting, GeoAnalytics is not supported")
exit(1)
# Find the big data file share dataset you'll use for analysis
search_result = portal.content.search("", "Big Data File Share")
# Look through the search results for a big data file share with the matching name
bdfs_search = next(x for x in search_result if x.title == "bigDataFileShares_CityData")
# Look through the big data file share for BikeLanes
bike_lanes = next(x for x in bdfs_search.layers if x.properties.name == "BikeLanes")
# Look through the big data file share for districts
districts = next(x for x in bdfs_search.layers if x.properties.name == "districts")
weighted_summary_fields = [{"statisticType" : "Average","onStatisticField" : "Slope"}]
# Run the Summarize Within tool
summarize_within_result = summarize_data.summarize_within(summary_polygons = districts,
summarized_layer = bike_lanes,
weighted_summary_fields = weighted_summary_fields,
output_name = "summary_of_bike_lanes")
# Visualize the tool results if you are running Python in a Jupyter Notebook
processed_map = portal.map('Your City, State', 10)
processed_map.add_layer(summarize_within_result)
processed_map
Ähnliche Werkzeuge
Verwenden Sie Zusammenfassen (innerhalb), um Statistiken für Features zu berechnen, die einen Grenz-Layer überlappen. Andere Werkzeuge können bei ähnlichen, aber leicht abweichenden Problemstellungen hilfreich sein.
Map Viewer Classic-Analysewerkzeuge
Verwenden Sie das Werkzeug Punkte aggregieren, wenn Sie Punkte zusammenfassen und Zeitschritte anwenden möchten.
ArcGIS Pro-Analysewerkzeuge
Dieses GeoAnalytics Tools ist in ArcGIS Pro verfügbar.
Zusammenfassen (innerhalb) führt die Funktionen der Werkzeuge Räumliche Verbindung und Summenstatistik aus.















